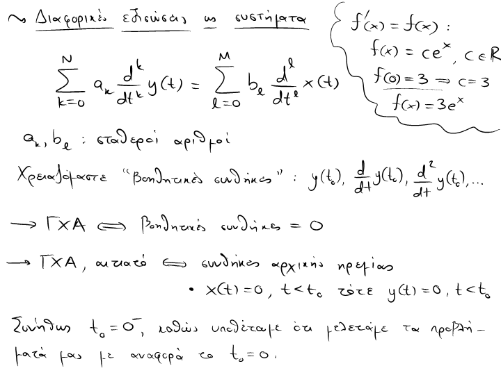
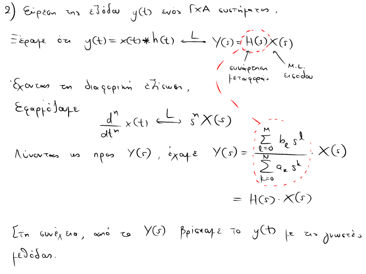
C:\Users\Tablet PC\Documents\HY215-Lec19.cp3

C:\Users\Tablet PC\Documents\HY215-Lec19.cp3