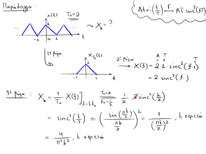
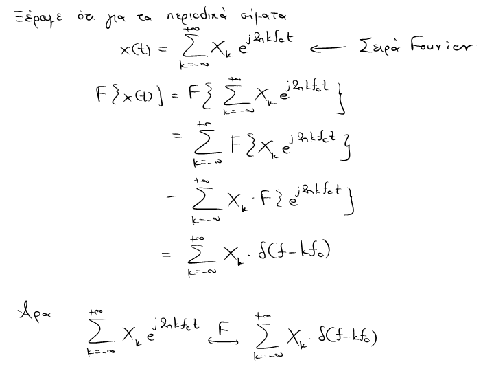
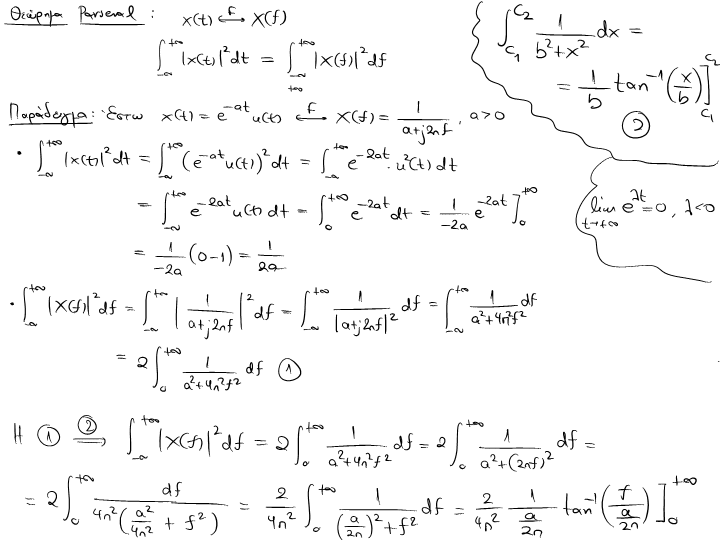
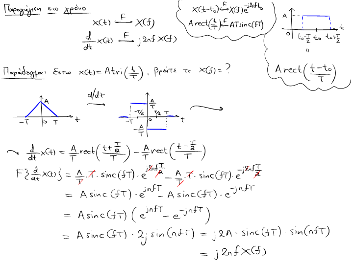
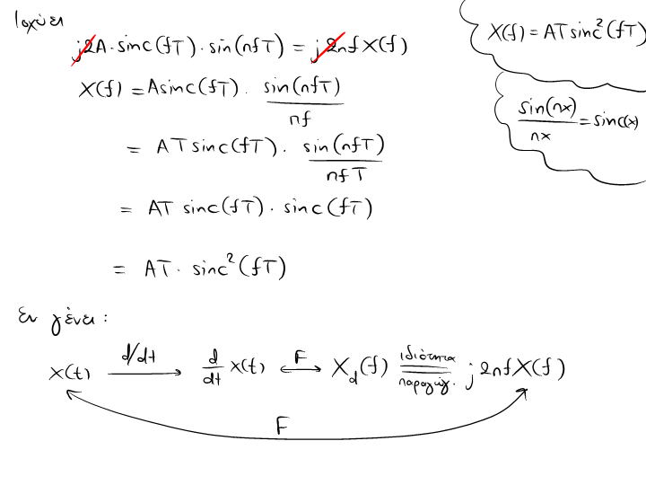
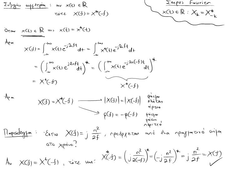
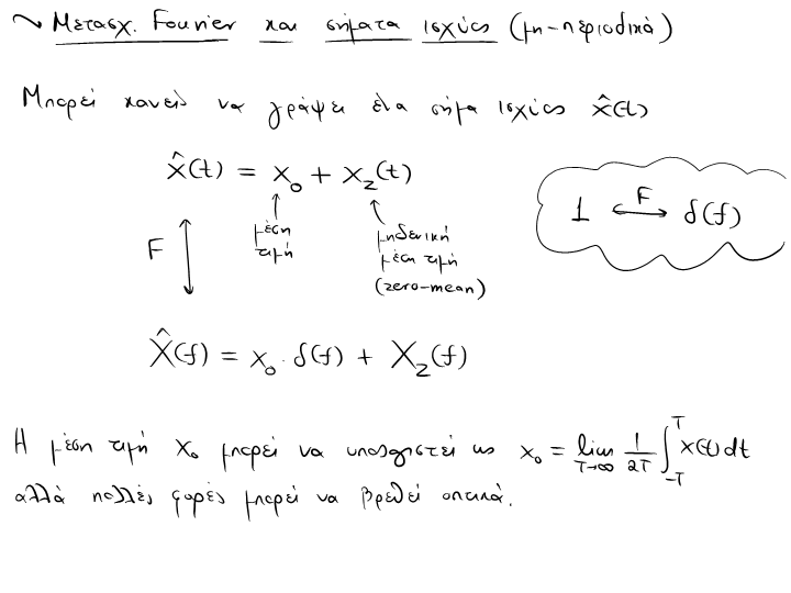
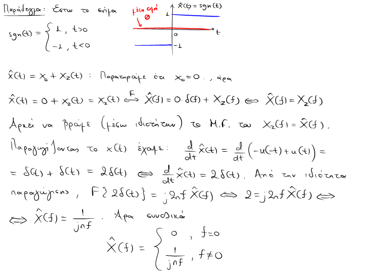
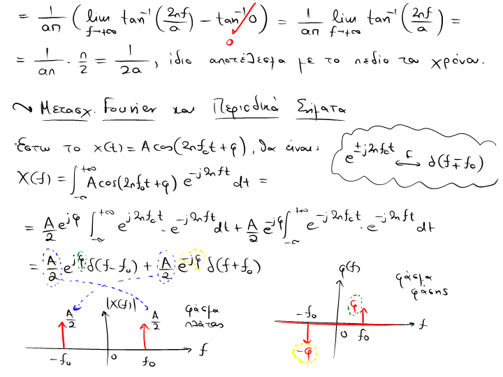
C:\Users\Tablet PC\Documents\HY215-Lec13.cp3

C:\Users\Tablet PC\Documents\HY215-Lec13.cp3