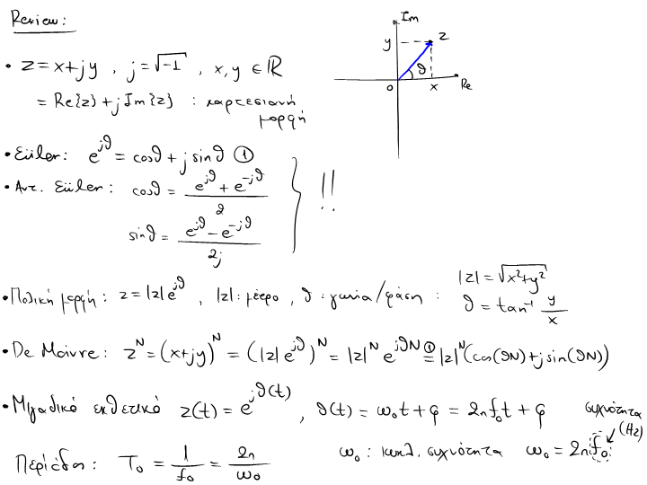
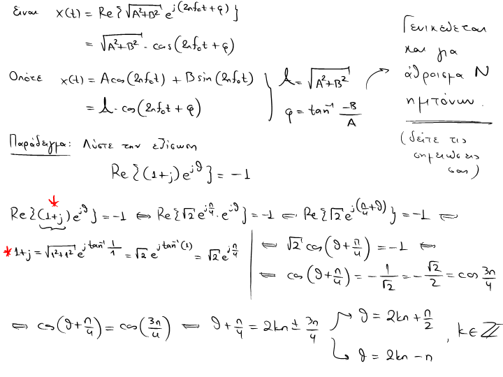
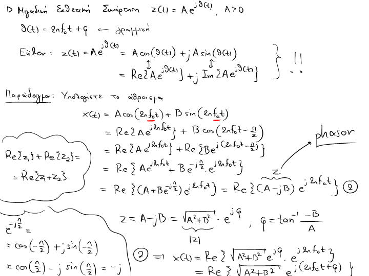
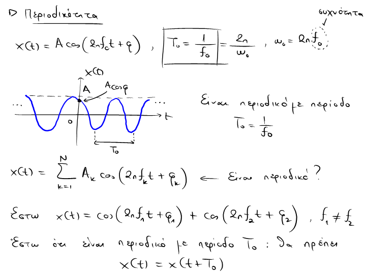
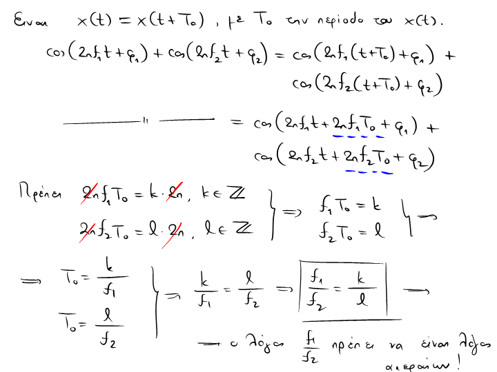
C:\Users\Tablet PC\Documents\HY215-Lec04.cp3

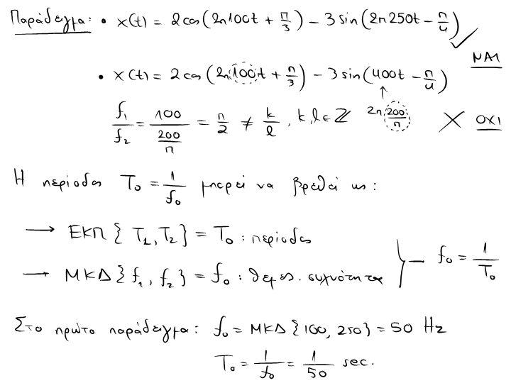
C:\Users\Tablet PC\Documents\HY215-Lec04.cp3