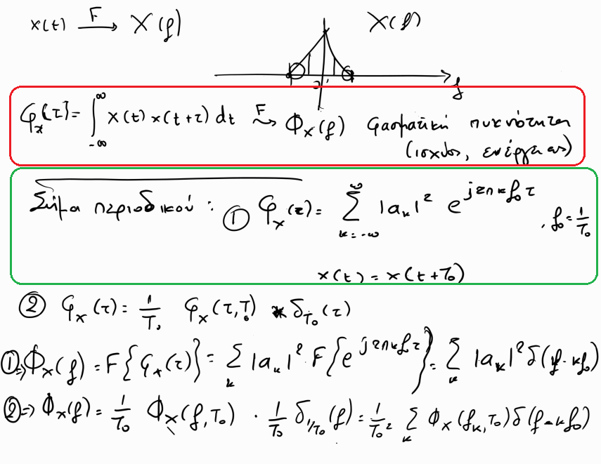
C:\Users\LenovoPad\Documents\lec28.cp3

C:\Users\LenovoPad\Documents\lec28.cp3