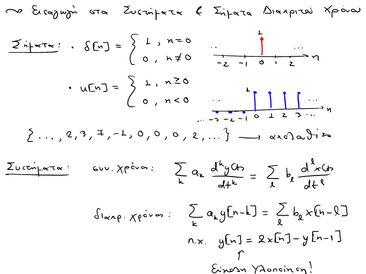
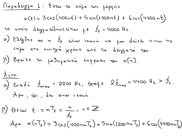
C:\Users\LenovoPad\Documents\lec27.cp3

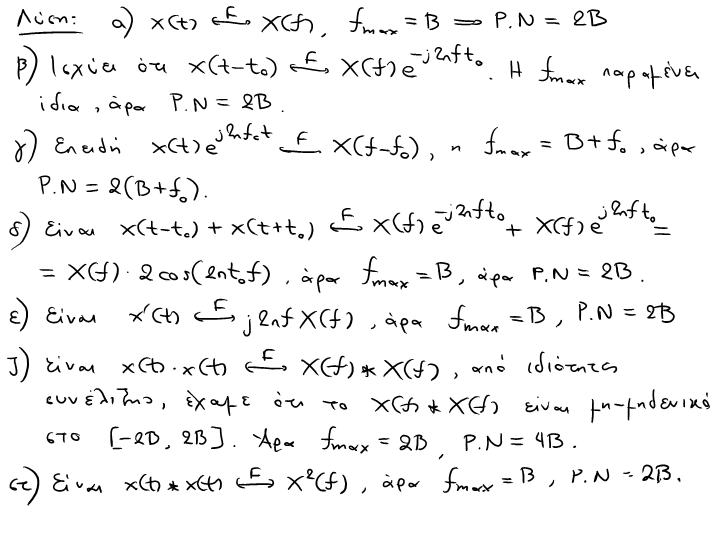
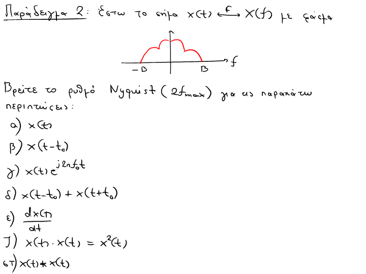
C:\Users\LenovoPad\Documents\lec27.cp3