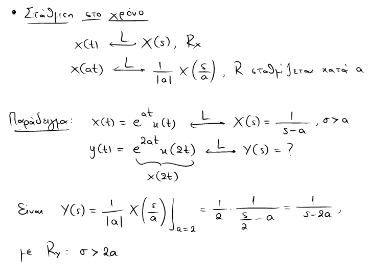
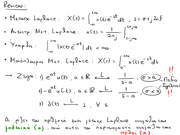
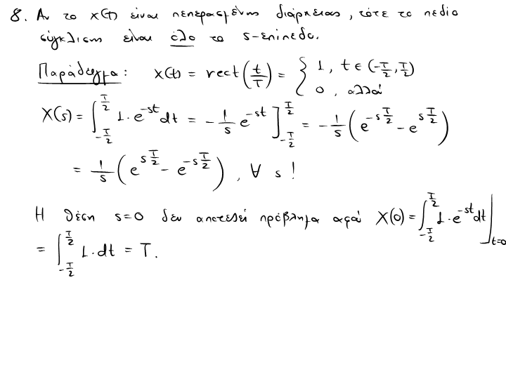
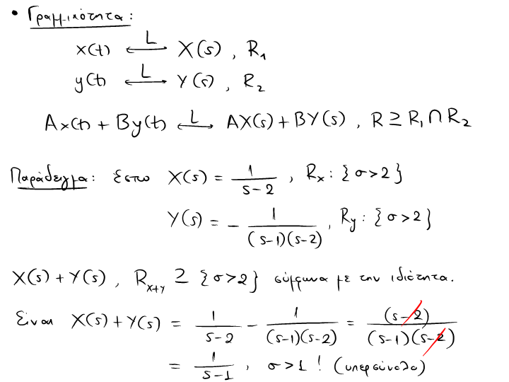
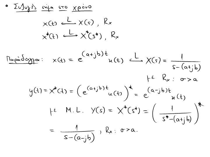
C:\Users\Tablet PC\Documents\lec22.cp3

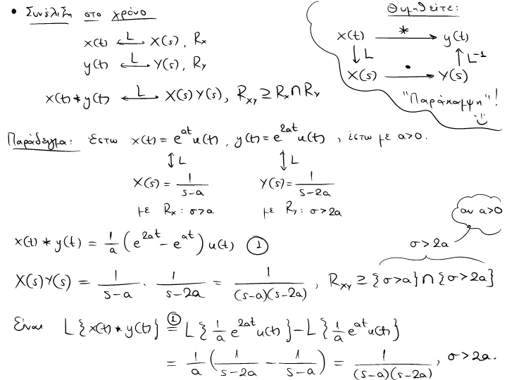
C:\Users\Tablet PC\Documents\lec22.cp3