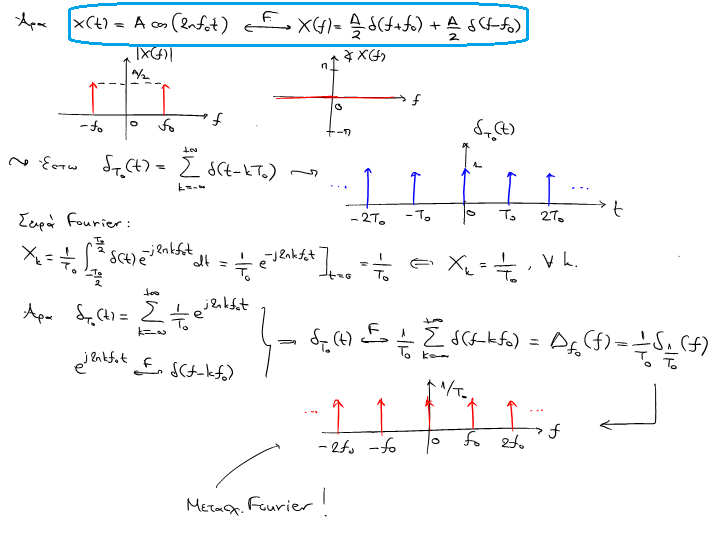
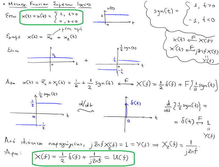
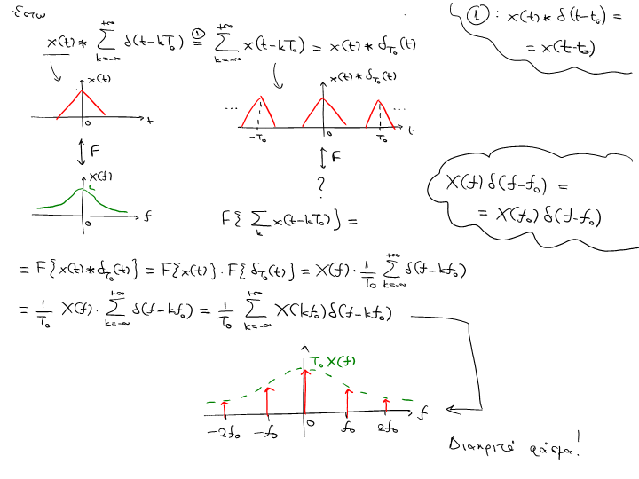
C:\Users\LenovoPad\Documents\lecL7.cp3

C:\Users\LenovoPad\Documents\lecL7.cp3