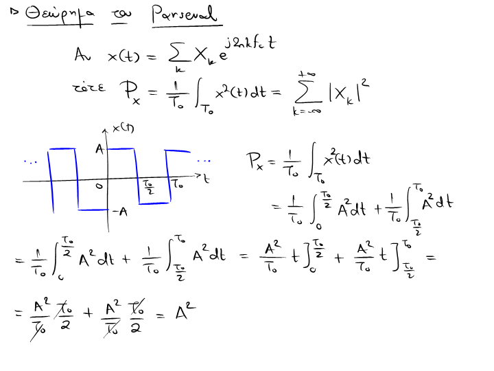
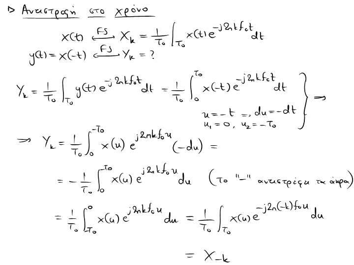
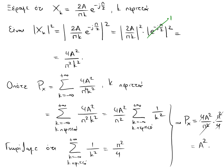
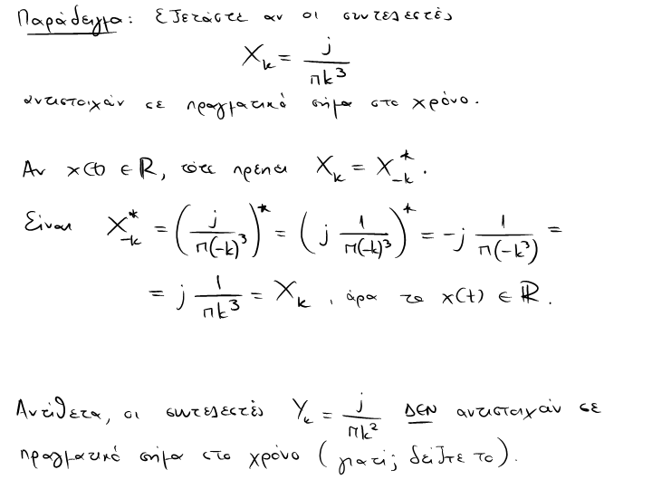
C:\Users\Tablet PC\Documents\lec13.cp3

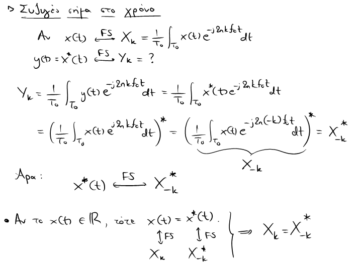
C:\Users\Tablet PC\Documents\lec13.cp3