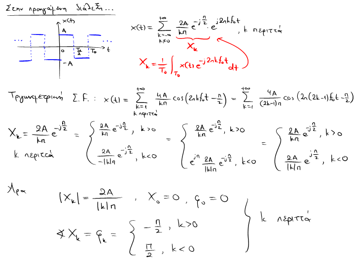
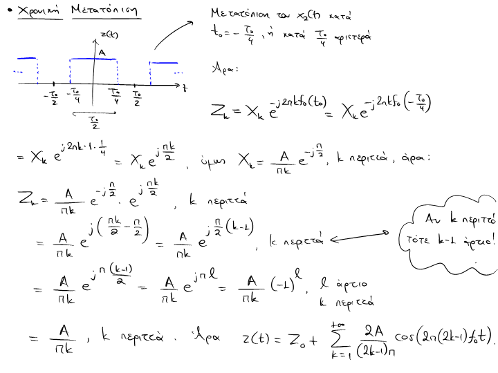
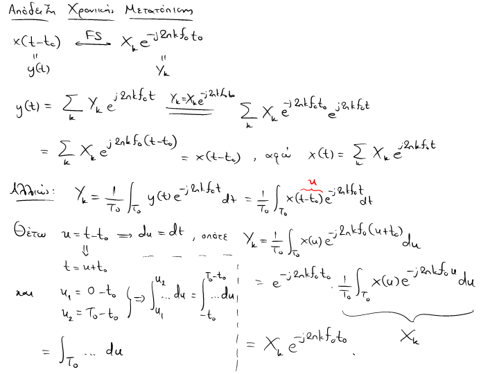
C:\Users\Tablet PC\Documents\lec12.cp3

C:\Users\Tablet PC\Documents\lec12.cp3