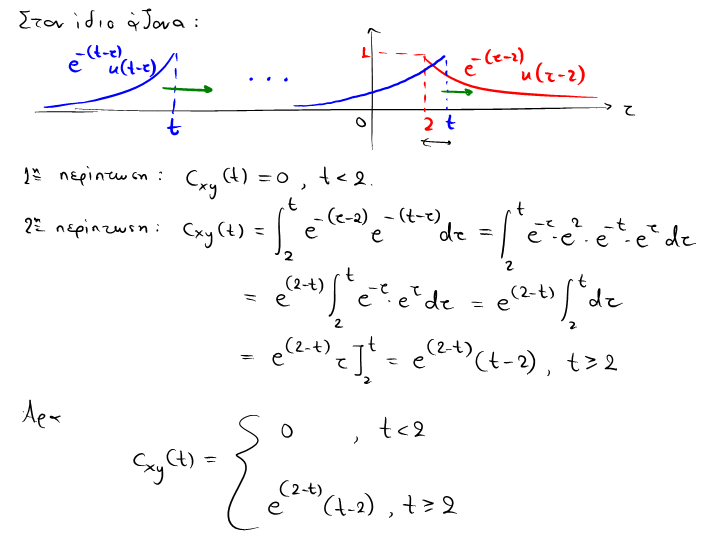
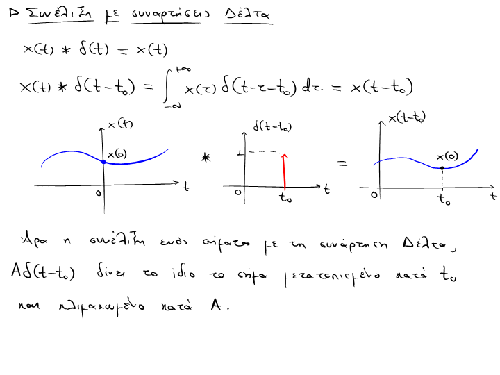
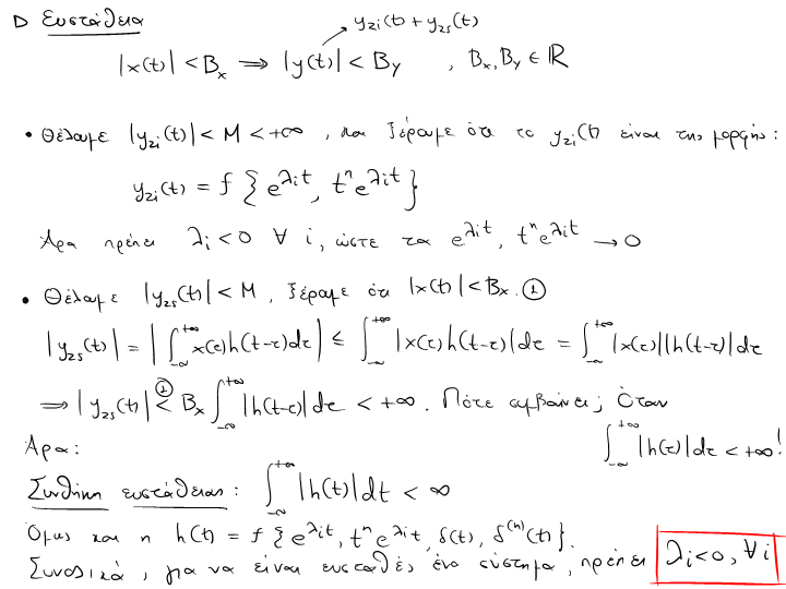
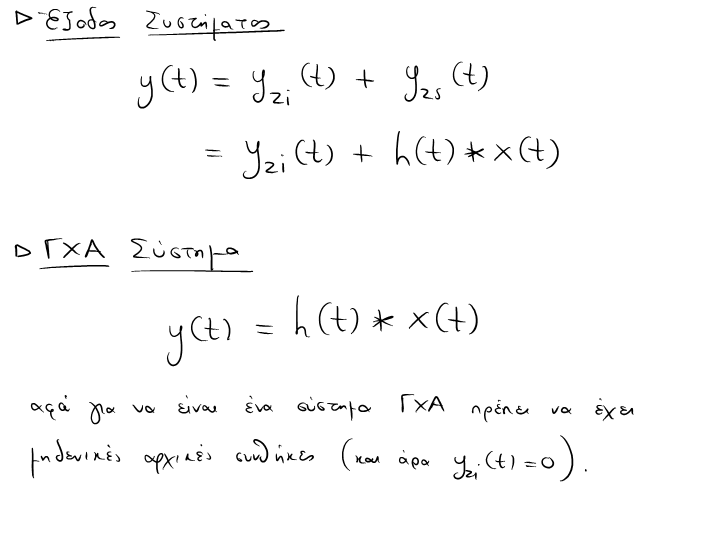
C:\Users\George Kafentzis\Documents\lec9.cp3

C:\Users\George Kafentzis\Documents\lec9.cp3