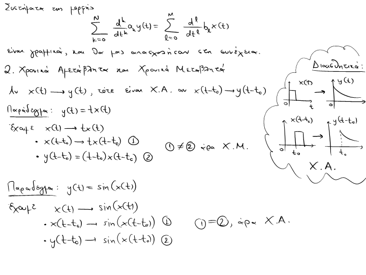
C:\Users\George Kafentzis\Documents\lec6.cp3

C:\Users\George Kafentzis\Documents\lec6.cp3