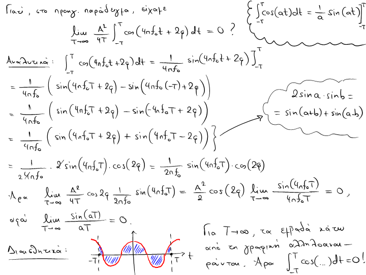
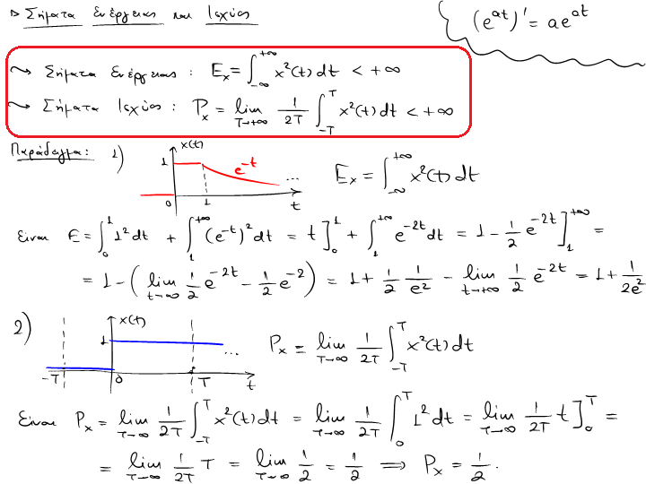
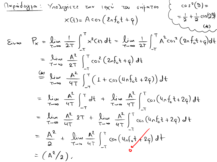
C:\Users\George Kafentzis\Documents\lec4.cp3

C:\Users\George Kafentzis\Documents\lec4.cp3