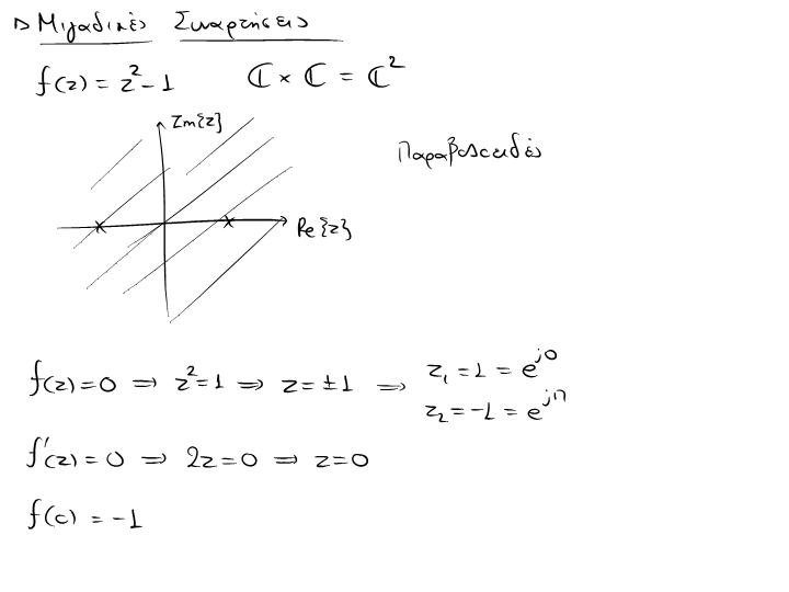
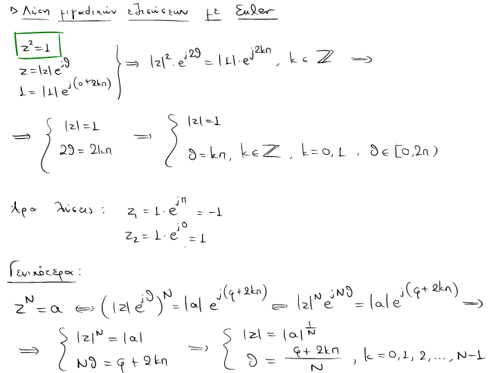
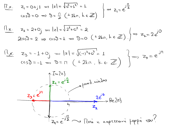
lec2

lec2