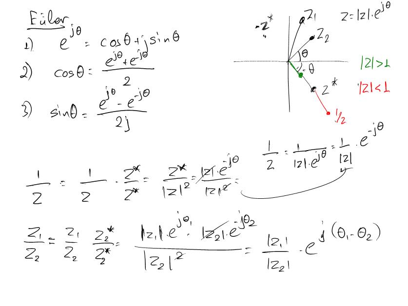
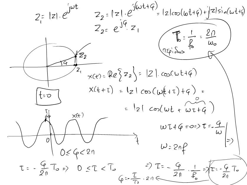
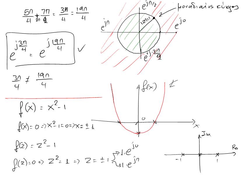
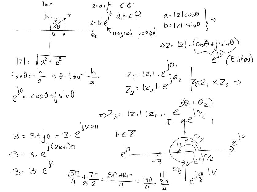
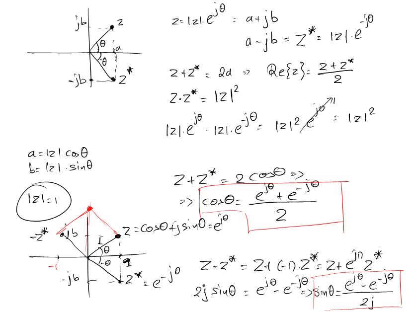
HY215-Lec2