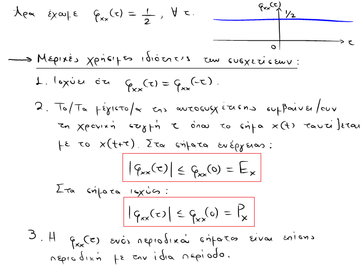
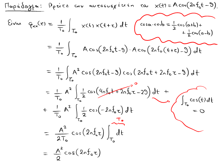
C:\Users\LenovoTablet\Desktop\HY215-Lec16.cp3

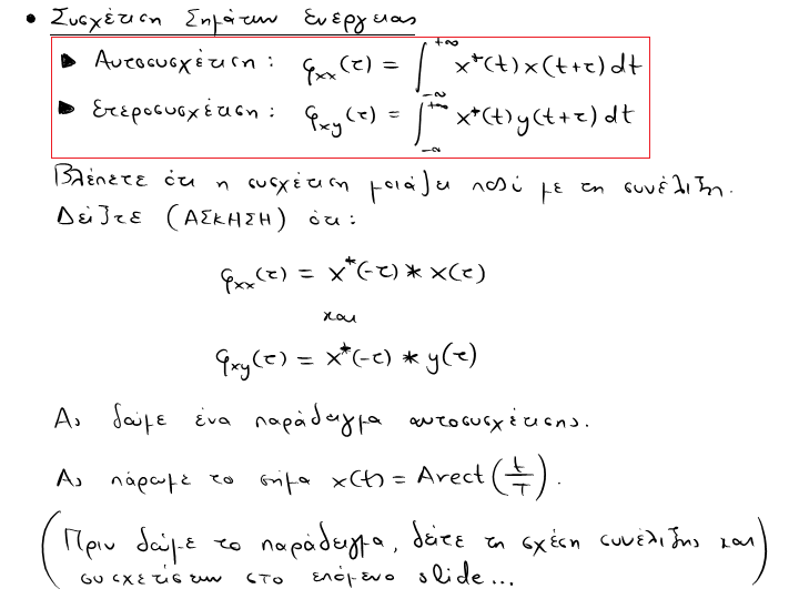
C:\Users\LenovoTablet\Desktop\HY215-Lec16.cp3