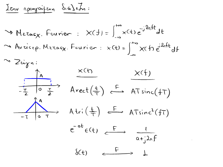
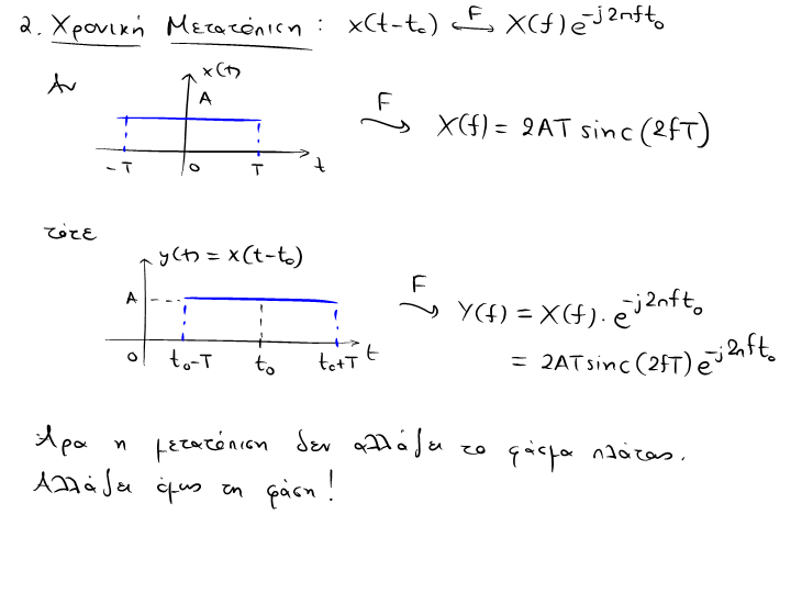
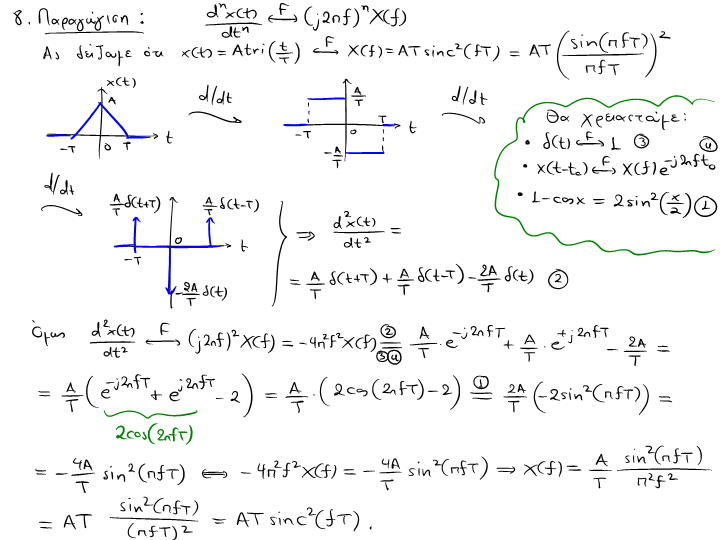
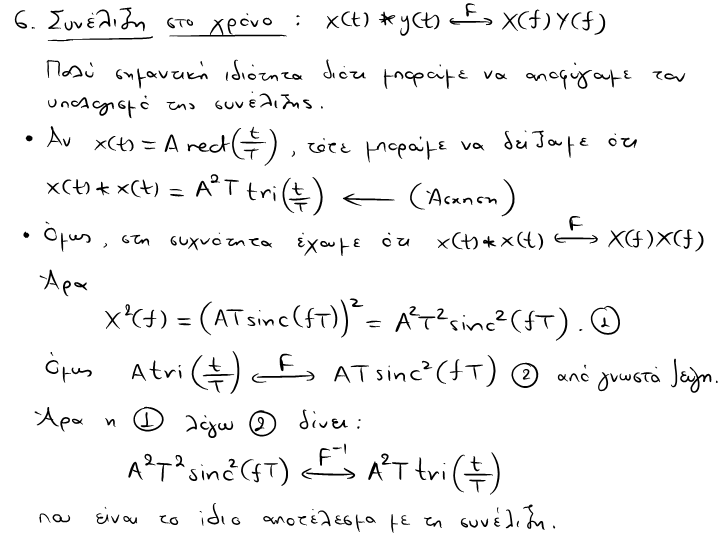
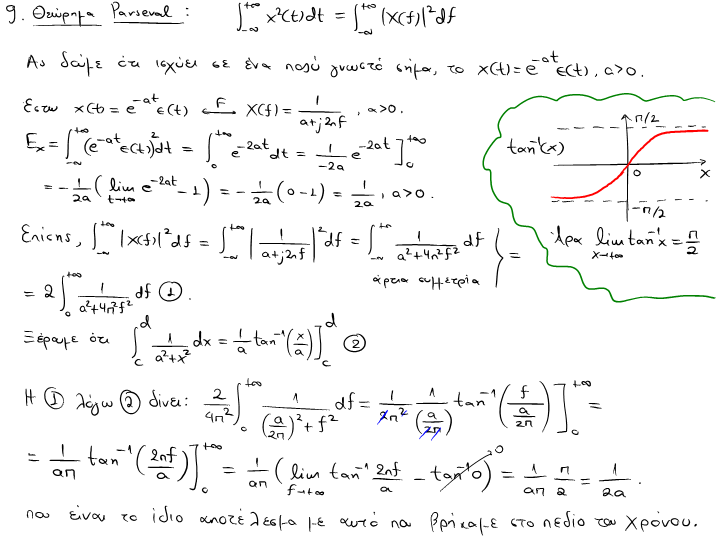
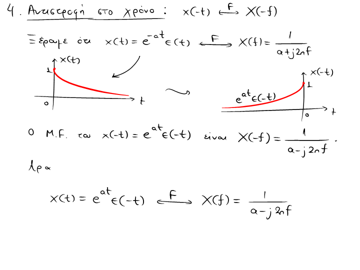
C:\Users\LenovoTablet\Desktop\HY215-Lec13.cp3

C:\Users\LenovoTablet\Desktop\HY215-Lec13.cp3