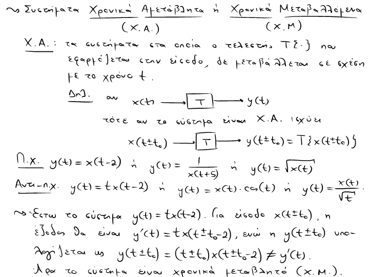
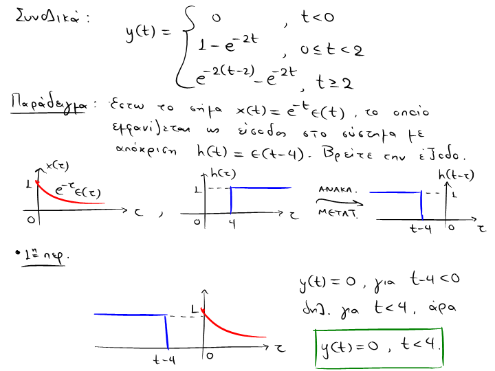
C:\Users\LenovoTablet\Desktop\HY215-Lec11.cp3

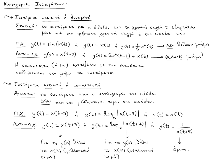
C:\Users\LenovoTablet\Desktop\HY215-Lec11.cp3