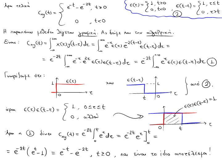
C:\Users\LenovoTablet\Desktop\HY215-Lec10.cp3

C:\Users\LenovoTablet\Desktop\HY215-Lec10.cp3